在铁路运输系统中,利用轨道电路移频键控信号(FSK)判断运输状态,传输控制信号,不同的调制信号下的载波信号代表不同的控制指令,所以实时、精确地检测轨道电路移频信号对保证铁路安全、快捷运输十分重要。采用频谱分析法确定FSK信号参数时,FFT变换需要对信号进行整周期采样,而FSK信号既具有数字通信的优点,又具有非线性调制的特点,因此对所有信号进行整周期采样具有一定的难度[1]。采用高频量化脉冲测量信号周期方法可以避免这一问题,只要量化时钟和处理速度满足要求,就可以获得满意效果。
本文在FPGA中利用高频时钟对FSK信号进行采样,用ARM处理器对获取的数据进行分析,并对畸变数据进行补偿,从而得到轨道电路FSK信号高频载波及低频调制信号测量参数。
1 系统设计
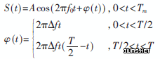
FSK信号是一种利用低频信号调制载波信号后产生的正弦交流信号[2],该信号主要由高频载波f0和频偏信号Δf形成的上边频fh、下边频fL组成,两种载波频率在每个调制信号FM周期内呈交替变化。若FSK信号可用周期信号S(t)表示,则FSK信号的数学表达式[3-4]为:

其中,f0为FSK信号的中心频率,?驻f为信号频偏,T=1/fm为低频调制信号周期。FSK信号如图1所示,其中虚线为低频调制信号,实线为载频信号段,中部为上边频段,两端为下边频段。

FSK信号测量的主要参数包括载频和频偏形成的上边频、下边频信号和调制频率三种物理量。在对FSK信号进行参数测量时,首先将FSK信号经过信号调理电路,利用高速开关管电路将正弦交流信号变换成方波信号;然后利用FPGA测量方波信号周期,并将测量数据通过串行接口发送给ARM处理器;ARM处理器接收到测量数据后,根据测量数据及数据统计情况计算载波和调制信号频率。在FSK信号幅值测量时,经过线性变换和限幅等处理,由高速16 bit A/D转换器进行转换。ARM处理器获取FSK信号频率和幅值参量后,将计算结果送往LCD显示。具体系统设计原理如图2所示。
