IGBT技术不能落后于应用要求。因此,英飞凌推出了最新一代的IGBT芯片以满足具体应用的需求。与目前逆变器设计应用功率或各自额定电流水平相关的开关速度和软度要求是推动这些不同型号器件优化的主要动力。这些型号包括具备快速开关特性的T4芯片、具备软开关特性的P4芯片和开关速度介于T4和P4之间的E4芯片。
表1简单介绍了IGBT的3个折衷点,并对相应的电流范围给出了建议。

表1:英飞凌1200V IGBT简介。
IGBT和二极管的动态损耗
为研究和比较这三款不同芯片在杂散电感从23nH到100nH时的开关损耗和软度,我们选用了一种接近最优化使用T4芯片的合理限值的模块。因此,选择一个采用常见的62mm封装300A半桥配置作为平台,而模块则分别搭载了这三款IGBT芯片。
这三个模块都采用了相同的高效发射极控制二极管和栅极驱动设置。图1为实验设置。

图1:测试设置:为测试续流二极管的反向恢复特性,驱动高压侧IGBT,并将负载电感改为与低压侧二极管并联。
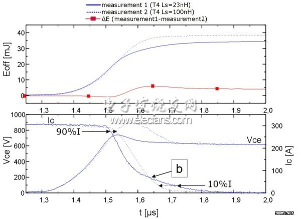
图2显示了两个不同杂散电感对配备IGBT-T4的300A半桥的开通波形的影响。

图2:T4的开通特性:上图显示的是针对两个电感(Ls=23nH和Ls=100nH)的损耗/时间曲线;下图显示的是电压和电流曲线。
当电流升高后,更高的杂散电感Ls不仅可以增大器件端子的电感压降(Δu=-L*di/dt),而且还能影响电流上升速度di/dt本身。尽管寄生电感使导通速度减缓,但导通损耗却大幅降低。
在该示例中,初始开关阶段的损耗(见图2中的时间戳a)随着杂散电感的增大由30.4mW降至12mW。
开关事件第二阶段的特点是二极管出现反向恢复电流峰值以及IGBT电压进一步下降。寄生电感的增大会导致反向恢复电流峰值的延迟,以及第二阶段开关损耗的提高。
因此,就整个开关事件而言,寄生电感的增大可大幅降低开通损耗。在本例中,损耗由40mW降低至23.2mW。
众所周知,虽然在开通过程中di/dt可降低IGBT的电压,但在关断过程中它也会增大IGBT的电压过冲。因此,直流母线电感的增加会增大关断损耗。如图3所示,关断的开关事件可分为两个阶段。
