·上一文章:影响频谱分析仪频率分辨率的因素
·下一文章:基于LabVIEW的数据采集与信号处理系统设计

由图可见,随着温度的升高,VCE和VBE呈线性下降。VBE的线性拟合方程为:
![]()
式中:温度系数为-1.25 mV/℃。硅管VBE的温度系数一般为-2.2 mV/℃。比较发现,这里VBE的温度系数较小,这是因为在该射极偏置电路(也称自偏置电路)中,发射极电阻的直流负反馈稳定了Q点,从而大大减小了温度变化对Q点的影响。
2 单管共射放大电路的动态指标
2.1 电压增益
根据图3的输入/输出信号波形图,可以计算出该放大电路的电压增益:
![]()
利用H参数小信号模型,绘制如图6所示的放大电路小信号等效电路。由此模型得到电压增益的表达式:
![]()
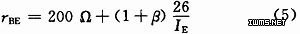
式中:交流电流放大系数采用直流系数β=IC/IB;β由静态工作点的基极和集电极电流进行计算。利用下列公式估算rBE:
![]()
将数值带入式(4),得到电压增益为-20.86,与仿真结果比较接近。从式(4)发现,电压增益随RE1阻值的增加而减小。为了观察RE1对电压增益的影响,对RE1进行了参数扫描分析。选择RE1为参数扫描分析元件,RE1的阻值设置为100 Ω,200 Ω,300 Ω和500 Ω,且观察其阻值变化对输出波形的影响,分析结果如图7所示。中间幅值最小的曲线是输入信号,其他是不同阻值下的输出信号。

由图7可见,随着RE1阻值的增加,输出信号的幅值逐渐下降。参数扫描分析结果与式(4)的结论是一致的。那么能否把RE1的阻值设置为零,以获得高电压增益呢:图8是RE1为零时的输入/输出波形图。由图发现,虽然输出幅值有所增加,但是输入/输出波形出现了明显的相移。因此将RE1的阻值设置为100 Ω。