·上一文章:继电保护中常被忽视的问题
·下一文章:开关电源IC中误差放大器的自激振荡及解决方法

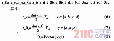
空间矢量调制法只确定开关间隔中应用电压矢量的占空比,从而获得低频率的输出电压和输入电流的平均值,但是并没有确定使用的顺序。所以需要使用双空间矢量调制法,同时也可改善波形的质量。图2表明了输入电流在4扇区,输出电压在5扇区应用双空间矢量调制的顺序。电压矢量在开关间隔中对称分布,零矢量每4个开关间隔使用一次。在每次开关转换中只有一个开关状态发生改变以最大程度地降低损耗。在图2中通过表格2确定相应开关时间:

每个零矢量:0a,0b,0c,每次所使用的时间为t_0y,因为零矢量在一个周期中要使用6次,表2表明了当测试的输入电压是线电压的时候,14种矢量所有可能的组合。如果输入电压是相电压,那么必须重新来排列Look-up table。每次双空间矢量调制顺序在一个开关周期中应用14个矢量。矢量的次序不是随机的,为了降低损耗每次开关转换只有一个输出相改变。每个顺序都是固定的,也就是说,矢量必须按照表格2的次序来排列。表格3是一个具体的例子。序列的第3个元素(相量6或者相量9)对应不同的占空比。占空比a,b,c,d的顺序并不总是相同。这是输入电流和输出电压所在的扇区来决定。占空比的顺序是:1)如果输入电流和输出电压所在的扇区都是奇数或者偶数,作用顺序为;duty_a,duty_c,duty_d,duty_b;2)如果输入电流和输出电压所在的扇区一个是偶数,一个是奇数,作用顺序是:通过这种方式,不同的占空比就与相应的相量对应。
