随着控制理论和电力电子以及永磁材料的发展,永磁推进电机被广泛用于各种变速驱动场合,这主要是因为永磁推进电动机具有结构简单、运行可靠、体积小、重量轻以及具有较高的效率和功率因数等优点。
传统的永磁同步电机调速系统一般采用双闭环系统,外环的速度控制一般可以实现数字控制,而内环的电流控制一般不容易实现数字控制,这主要是因为电机的电气时间常数比较小,对电流控制的实时性要求很高,一般的微处理器很难满足要求。但是随着电力电子技术和微处理器技术的发展,特别是TI公司针对电机控制而推出的DSP-F240为实现全数字控制提供了比较现实的手段。DSP-F240主要由CPU、片内RAM和可编程FLASH ROM、事件管理器、片内周边接口等部分组成,它的工作频率比较高,一般要大于20MIPS,并且片上集成了很多面向电机控制的外围设备,使得整个系统的实现相对比较容易。本文介绍以TMS320LF2407ADSP为核心的永磁同步电机推进系统的硬件结构和软件流程,并对该套方案进行了Matlab/Simulink仿真和低速运行实验。
1 永磁同步电动机的矢量控制策略
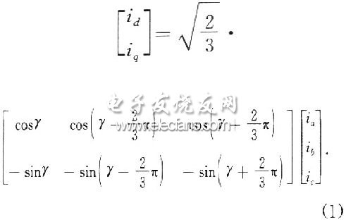
矢量控制理论是由F.Blaschke于1971年提出的,其基本原理是:在转子磁链dqO旋转坐标系中,将定子电流分解为相互正交的两个分量id和iq其中id与磁链同方向,代表定子电流励磁分量,iq与磁链方向正交,代表定子电流转矩分量,用这两个电流分量所产生的电枢反应磁场来等效代替原来定子三相绕组电流ia、ib、IC所产生的电枢反应磁场,即进行Park变换:

式中:γ为转子位置角,即转子d轴领先定子a相绕组中心线的电角度。然后分别对id和io进行独立控制,即可获得像直流电机一样良好的动态特性。表面凸出式转子结构的永磁同步电机d、q轴电感基本相同,因而其电磁转矩方程为:

式中:pn为转子极对数,Ψf为永磁体产生基波磁链的有效值。
为使定子单位电流产生最大转矩,提高电机的工作效率,本文选用最大转矩/电流矢量控制,由式(2)可知,对于表面凸出式转子结构的永磁同步电机,可令id=0,通过调节iq来实现转矩的控制如图1所示,整个伺服系统由3个控制环构成。

1)位置环:采集电机旋转编码器输出的脉冲信号,鉴相、倍频后进行计算,提供坐标变换所需的转子位置信息;
2)速度环:比较实际转速n与设定转速nref所得差值经PI调节后作为q轴电流参考值iqr再经电流环调节后;
3)电流环:比较电流实际值id、iq与参考值idr、iqr,经PI调节后产生d、g轴电压参考值udr、uqr,将其转换至静止坐标系中得uαr、uβr按SVPWM方式生成逆变器触发信号,驱动电机。
2 系统硬件结构
永磁同步电动机推进系统的硬件结构如图2所示,它主要提供以下3大功能:电动机控制策略的实现、控制量的检测采样以及功率驱动。

2.1 TMS320LF2407A DSP
整个系统控制策略的实现由TMS320LF2407A DSP完成,它具有低功耗和高速度的特点,其单指令周期最短可达25 ns片内两个事件管理器(EVA和EVB)各有2个通用定时器,1个外部硬件中断引脚,3个捕获单元(CAP)和1个正交编码单元(QEP)这些功能与串行外设接口(SPI)等模块一起,这就方便了电机控制过程中的数据处理、策略执行及决策输出等。
2.2 控制量检测部分
电机机械量的采集由增量式光电编码器来完成,其输出包括两组脉冲信号:A、B、Z和U、V、W,它们与DSP的连接如图3所示其中A、B信号正交,正交编码单元将它们四倍频后送入相应的计数器进行计数,计数方向由A、B信号的相位先后决定Z信号随转子每转一周输出一个脉冲,根据它们的不同状态,可将360°电角度平面分成6个部分,用以确定电机的初始转子位置角。
电机电流状态量的采集由霍尔电流传感器完成,其采样电路如图3所示,输入输出关系为:

为了保证电流较小时的采样精度,改善电机低速、轻载下的运行情况,这里采用12 b双A/D转换器ADS7862来代替DSP内部10 b的模/数转换模块,通过DSP的外部存储器扩展接口,将式(3)的模拟电流量转换为数字量结果,输入DSP。

2.3 功率驱动部分
永磁同步电机的功率驱动为交-直-交PWM方式,其中整流部分采用单相桥式不控整流,逆变部分采用智能功率模块PS21869,它内部集成了6个绝缘栅双极型晶体管及其驱动、保护电路,由DSP的PWMl~6引脚提供触发信号,能够在过流或欠压故障发生时,关闭IGBT驱动电路,同时在相应故障引脚输出故障信号至DSP的PDPINTA引脚,通过硬件中断,封锁PWM脉冲输出。
3 系统软件设计
永磁电机推进系统的软件主要由3部分组成:初始化程序、主程序和中断服务子程序系统复位时,先执行初始化程序,检测、设定DSP内部各模块的工作模式和初始状态主程序负责收集电机电流、转速等一系列实时运行信息;定时中断子程序则是实现电机矢量控制策略的核心程序,主要完成PI调节和SVPWM波形发生这两大功能,其流程图如图4所示。
