·上一文章:TMS320VC5402 DSP与单片机的HPI接口实现
·下一文章:自激间歇振荡电路图设计
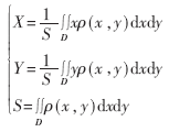
精确定中心是算法中最关键的部分,方法的好坏直接影响地心的精度。一般有霍夫变换法、面积积分和三点均值法等。精确定位采用面积积分法。根据微积分理论,对于一个封闭区域D,其重心坐标可用如下公式得到:

式中,x和y代表单元点的坐标,ρ(x,y)代表单元点的密度,D代表整个区域。
当ρ(x,y)=1时,区域的重心和形心重合,S表示区域的面积。为了能够用计算机计算区域的中心位置,必须对上面的公式离散化。离散化后的公式为:

式中, R(θ)表示对应θi~θi+1范围内的幅值变化规律。
3 实验结果
把CCD拍摄到的图像数据送入该系统处理,每处理完一帧图像就会从串口输出一个姿态角信息。表1是四帧图像的处理结果。从表1可以看出算法的精度优于0.1的指标要求,算法处理时间约为0.49秒,满足一秒处理一帧的实时要求。

实时图像处理系统,实现了图像采集、实时数据处理及输出。系统具有很好的升级性和扩展性。采用DSP处理器,增强了系统的处理能力,提高了系统处理速度,保证了工作的实时性要求。采用贴片器件,既减小了PCB板的尺寸,又增强了系统的可靠性。实验证明,中心定位算法通过对原始图像滤波、判断目标是否进入视场、边缘检测和精确定中心大大提高了地平仪的测量精度。