·上一文章:无线路由器没有分配IP地址的原因
·下一文章:基于单片机的智能篮球记分器的设计
这里采用LED驱动芯片PT4115。PT4115是一款连续电感电流导通模式的降压恒流源IC,能将直流电压直接转换成稳定的恒流输出。
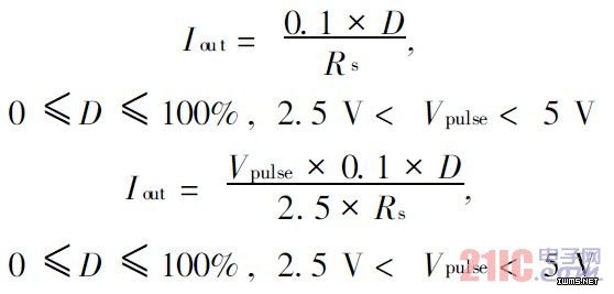
图4为在PWM调光模式下外加PWM脉冲驱动信号和输出驱动电流的测量结果。PWM占空比从0~100%。从图中可以清楚的看到,通过改变不同的PWM占空比可以调节额定电流,PT4115最大能够输出1.2 A的电流。

图4 驱动电路图
输出的额定电流由以下公式得到:

式中:D为PWM的占空比。
3 HSI模型
3.1 HIS模型的转换
RGB模型面向电路,而HSI模型与人的颜色感知一一对应,所以需要通过RGB模型完成到HSI模型的转换:

式中:H分量表示色调;S代表饱和度;I代表亮度。