与开关卡的连接也是一个产生发热电压的来源。我们应该尽量采用没有镀锡的铜线连接开关卡,并且保持所有引线处于相同的温度。可以采用一个短路通道构建零基值的方式对偏移电压进行补偿。但是,这种补偿方式并不理想,因为由于自热和环境温度的变化,偏移电压会随着时间发生变化。
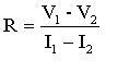
在切换低电压同时又进行低电阻测量时,可以采用偏移补偿的方式抵消热电偏移电压,这需要利用两个不同的电流值进行两次电压测量。用两次电压测量结果的差除以两次测试电流的差,即可计算机出电阻的值:

开关膜污染
随着时间的延长,继电器接触点的表面会形成一层污染膜,从而增大它的电阻,在低电压测量或供电情况下这会使得开关电压变得不稳定。>l00mV的电压通常不受这种污染的影响。采用固态开关式扫描卡可以防止这一问题。
磁干扰
磁通量的高速变化,例如开关电源或者高电流信号通断所产生的,会在相邻的低压电路中感应出几个微伏的电压,造成明显的误差。通过将噪声源与敏感电路尽可能分离开,进行磁场屏蔽,使用带屏蔽的双绞线,减少噪声源和信号导线的有限区域等措施,可以最大限度地减少磁干扰问题。
接地环路
如果两个接地点之间存在较小的电位差,那么系统的某些敏感部分可能会产生一定的地电流。这种情况只出现在某些开关闭合,进行复杂诊断的情况下。无论什么时候,尽量保持一个系统接地点。如果做不到这一点,可以采用基于光耦合或平衡变压器的隔离技术,增大两点之间的有效电阻,将公共地电流降低至可以忽略的水平。
高压开关
线缆和印制电路板的绝缘电阻测试或者耐压测试通常都涉及高电压的开关切换。为了避免损坏开关卡,在开关切换200V以上的电压时必须十分谨慎,要选择额定指标符合所需电压与功率大小的开关卡,例如用于3706型系统开关/万用表(如图3所示)的吉时利3720型双1x30多路复用卡,以及额定指标合适的线缆。如果可行,采用冷开关的方式可以延长继电器的寿命,增大所容许的电流。

图3. 吉时利3706型系统开关/万用表
电抗性负载会引起过大的电流和电压跳变,因此为了防止损坏继电器和外部电路,容性负载需要采取电流浪涌限制措施,感性负载需要采用电压箝位措施。
高阻抗电压开关
高阻抗电压开关需要用在监测电化学电池、测量半导体电阻率之类的应用中。开关和测量具有高内部阻抗的电压源会遇到诸如偏移电流、杂散漏流和静电干扰之类的误差。采用并联电容技术可以延长稳定时间。
当选择开关高阻抗电压的开关卡时,要确保该卡具有较低的偏移电流。流过高阻抗器件的任何偏移电流都会在器件上产生不需要的电压,加入电压测量中。
高阻抗电路对静电干扰十分敏感,因此DUT和连接线都应该很好地屏蔽以防止噪声感应。
测试仪器、开关卡、线缆和夹具中的漏电流都会因为降低测量电压而带来误差。因此要选择具有较高隔离电阻的开关卡,尽量在所有可能的地方使用保护电路,尽可能选择具有最高绝缘电阻的绝缘体。