第四节 交流发电机调节器使用与维修
一、调节器正确使用
(1)调节器与交流发电机的电压等级必须一致,否则充电系统不能正常工作。
(2)调节器与交流发电机的搭铁型式必须一致。
(3)交流发电机的功率不得超过调节器所能匹配的功率。
(4)线路连接必须正确。
(5)调节器必须受点火(或电源),开关控制。
(6)汽车停驶时,应将点火(或电源)开关断开。
二、调节器检修
当充电系统出现故障,经检查确认发电机工作正常时,应将调节器拆下进行检修。
(一)电磁式调节器检修
1.直观检查
先打开调节器盖,再目视触点有无烧蚀,各电阻及线圈有无烧焦现象和断路、搭铁等故障。若触点轻微烧蚀,可用“00”号砂纸打磨;若触点严重烧蚀或触点厚度小于0.5mm,应更换触点;动触点与静触点应对齐。
2.仪表检查
当充电系统出现故障,经检查确认发电机工作正常时,应将调节器拆下进行仪表检查。
用万用表测量调节器各接端子间的阻值可以判断电磁式调节器电器部件的技术状况。检测时,数字式万用表置于OHM×200挡,指针式万用表置于R×1挡位。
(1)电磁式调节器端子B与E间阻值RBE检测。检测电磁式调节器端子B与E间的阻值RBE时,数字式万用表置于OHM×200挡,指针式万用表置于R×1挡位。
当低速触点K1闭合、高速触点K2断开时,调节器的等效电路如图5-23(a)所示,RBE应为23.4Ω,即


若阻值不符,则应检查各元部件。一般来说,阻值过小可能是电阻或线圈短路;阻值过大,可能是触点烧蚀而接触不良或电阻、线圈断路,调节器。
(2)电磁式调节器端子B(相线或S)与端子F(磁场)间阻值RBE检测。
检测电磁式调节器端子B(相线或S)与端子F(磁场)间的阻值RBE时,数字式万用表置于OHM×200挡,指针式万用表置于R×1挡位。
当一级触点(低速触点)K1闭合、二级触点(高速触点)K2断开时,所测阻值为低速触点的接触电阻值,其值RBF<0.5Ω。如阻值过大,说明低速触点接触不良,可用“00”号砂纸进行打磨。
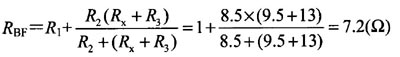
当低速触点K1断开、高速触点K2闭合时,调节器的等效电路如图5-23(b)所示,RBF应为7.2Ω,即

若阻值不符,则应检查各元部件。一般来说,阻值过小可能是电阻或线圈短路;阻值过大可能是触点烧蚀而接触不良或电阻、线圈断路。
3.电磁式调节器调整
电磁式调节器的间隙有高速触点间隙、衔铁与铁芯间的气隙。常用电磁式调节器各部间隙的调整参数见表5-4。

以FT61型调节器为例,其衔铁与铁芯间的气隙为1.05~1.15mm,如不符合规定,可将静触点支架的固定螺钉拧松,据需要向上或向下移动支架即可进行调整。动合触点(高速触点)的间隙为0.25~0.3mm,如不符合规定,可通过改变高速触点的位置进行调整。由于高速触点间隙很小,因此调整时必须仔细。
(二)电子式调节器检测
1.搭铁型式检测
电子式调节器搭铁形式检测,可用专用检测仪或可调直流电源进行检测。
当不知电子调节器的搭铁形式时,可按图5-24(a)所示线路进行检测,具体方法与步骤如下:

(1)将电源电压U调到12V(28V调节器调到24V);
(2)接通开关SW,若小灯泡发亮,则为外搭铁型调节器。若灯不亮,则该调节器为内搭铁型调节器。
2.技术状况检测
电子式调节器技术状况检测,可用专用检测仪或可调直流电源进行检测。
检测电子调节器技术状况好坏时,外搭铁型调节器按图5-24(a)所示线路连接;内搭铁型调节器按图5-24(b)所示线路连接。检测线路接好后,先接通开关SW,然后由零逐渐调高直流电源电压,此时小灯泡的亮度应随电源升高而增强。
当电压调高到调节电压值(14V调节器为14.2V±0.25V, 28V调节器为28V±0.3V)或略高于调节电压值时,若小灯泡熄灭,则调节器技术状态良好;若小灯泡始终发亮,说明调节器已经损坏,可能是大功率三极管短路或前级驱动电路断路,若装车使用,则磁场电流将始终接通,发电机电压将随转速升高而失控,具有损坏用电设备的危险。
在上述检测过程中,若小灯泡始终熄灭(灯泡未坏),则调节器已损坏,可能是大功率三极管断路或前级驱动电路短路。若装车使用,则磁场电路不能接通,发电机仅靠剩磁发电而不能对外供电,长期使用就会导致蓄电池亏电。
第五节 交流发电机调节器试验
交流发电机调节器性能优劣以及修理质量高低,均应通过交流发电机与调节器试验台检测确定。如无试验台,也需装车进行试验。
一、试验电路
根据QC/T 424-1999规定,试验电路应按图4-25所示电路进行连接(即整体式交流发电机可直接进行试验,普通交流发电机需要连接调节器才能进行试验)。
二、技术条件
根据QC/T 729-2005规定,配用电子式调节器的交流发电机,在环境温度为23℃士5℃条件下,调节器的电压调节性能还应符合表5-5的规定。

由此可见,交流发电机与调节器在使用过程中,不仅要进行1500r/min输出电流和额定输出电流两项试验,配用电子式调节器的交流发电机,还要对调节器进行调节特性、转速特性和负载特性试验。
三、调节器调节特性试验
调节特性试验的目的是检测调节器的调节电压是否在规定值范围内。调节特性的试验方法如下:
(1)根据试验电路将调节器和发电机与试验台连接。
(2)接通开关S1,起动拖动电动机,并将发电机转速升高到6000r/min保持不变。
(3)接通开关S2,调节负载电阻使发电机输出电流达到50%IR(即额定输出电流的一半),此时电压表指示的电压即为调节器的调节电压值,其值应当符合表5-3的规定。
四、调节器转速特性试验
转速特性试验的目的是检测调节器随发电机转速变化时,调节电压的变化幅度。试验电路与调节特性试验电路相同,试验方法如下:
(1)根据试验电路将调节器和发电机与试验台连接。
(2)接通开关S1,起动拖动电动机,并将发电机转速升高到2000r/min。
(3)接通开关S2,调节负载电阻使发电机输出电流达到10%IR(不低于2A)保持不变,并记录此时电压表指示的发电机电压值。
(4)将发电机转速从2000r/min逐渐升高到10 000r/min,同时读取电压表指示的电压值。两种转速时调节电压的差值应当符合表5-3的规定。
五、调节器负载特性试验
负载特性试验的目的是检测发电机负载变化时,调节电压的变化幅度。试验电路与调节特性试验电路相同,试验方法如下:
(1)根据试验电路将调节器和发电机与试验台连接。
(2)接通开关S1,起动拖动电动机,将发电机转速升高到6000r/min并保持不变。
(3)接通开关S2,调节负载电阻使发电机输出电流达到10%IR(不低于2A),并记录此时电压表指示的发电机电压值。
(4)将负载电流从10%IR增大到85%IR,同时读取电压表指示的电压值。两种负载电流时调节电压的差值应当符合表5-3的规定。
上一页 [1] [2] [3] [4] [5] [6] [7] [8] [9] [10] [11] [12] [13] [14] [15] [16] [17] 下一页