2 基于ETSDAC的系统建模
2.1 ETSDAC简介
电力系统全数字实时仿真装置ADPSS可实现机电暂态过程、电磁暂态过程及机电电磁混合实时仿真,并以实际电网作为试验背景,实现与调度自动化EMS实时数据接口,进行继电保护、稳定控制装置、直流输电及可控串补控制装置等仿真试验;可接入用户自定义模块,在不需要接入实际装置的情况下,对数字模型进行仿真,检测系统运行状态、设备的性能及参数的优化等。ADPSS中的电磁暂态程序ETSDAC主要针对电磁暂态过程进行计算和分析,根据结果可分析、校核系统运行方式,验证各类控制保护设备的性能,为其结构和设计的优化与整定提供依据,保障电力系统安全运行。
2.2基于ETSDAC的系统空载模型的搭建
本文采用自励式交流励磁机IEEEAC5 A模型进行分析,附加PID控制器的结构如图2所示。

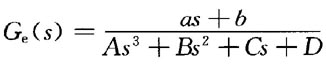
励磁系统的传递函数为:

其中:

2. 3基于PSO算法的PID控制器参数整定
PID控制器参数整定是控制系统设计的核心内容。传统的PID控制器参数整定方法主要是试测法,但是该方法工作量大且需要依据经验。本文将采用具有内在并行性、迭代格式简单并可快速收敛到最优解的PSO算法来整定PID控制器参数。首先将输入和输出函数离散化,借助差分的思想,求取每一采用时刻输出函数的值,并以误差绝对值时间积分性能指标作为最小目标函数,求取适合的参数。
通过传统方法及PSO算法得到的参数见表1。利用PSO算法寻优得到PID参数后,对励磁控制系统进行仿真,采用阶跃信号模拟发电机空载起励过程,仿真结果如图3所示。


通过仿真对比可知,增加PID控制器后,发电机起励过程的超调量大幅减小,上升时间和调整时间也变短,且用粒子群算法整定的PID控制器参数比常规试测法得到的参数使控制器的效果更优。