4 欧洲经济委员会ECE R78.03法规
欧盟议会和理事会法规((EU) No 168/2013是新版欧盟摩托车技术法规体系的核心和基础法规。(EU) No3/2014两轮或三轮车辆,以及四轮摩托车型式批准的车辆功能性安全要求,是对((EU) No 168/2013体系的补充(EU) No 3/2014中ANNEX III规定了对L类摩托车制动性能的要求采用ECE R78.03法规。
我国关于摩托车ABS制动系统的测试的新法规GB 20073-201 X《摩托车和轻便摩托车制动性能要求及试验方法(征求意见稿)》已于2015年8月份提出。对比国内外现行法规来看,多与ECE R78.03测试要求,判定限值等同或近似。因此,对于摩托车ABS制动系统测试技术的研究集中在ECE R78.03法规。
现对ECE R78.03法规关于摩托车ABS制动测试要求及关注问题进行详细介绍。
4.1术语及解释
4.1.1防抱死制动系统Antilock brake system (ABS)
监控车轮的滑移程度,同时自动调节压力以控制车轮处的制动力,以限制车轮滑移程度的系统。
4.1.2轻负载Lightly loaden
车辆基准质量加上测试设备质量(15吨),与满载
质量相比的较小者。
在低摩擦路面上进行ABS试验时,测试设备质量(包括保护支架)增加至30 kg。
4.1.3制动初始温度Initial brake temperature
实施任何制动前,制动器的最高温度。
4.1.4附着系数
附着系数,是附着力与车轮法向(与路面垂直的方向)压力的比值。它可以看成是轮胎和路面之间的静摩擦系数。这个系数越大,可利用的附着力就越大,汽车就越不容易打滑。附着系数的大小,主要取决于路面的种类和干燥状况,并且和轮胎的结构、胎面花纹以及行驶速度都有关系。
4.1.5车轮锁止Wheel lock
当车轮滑移率为1.00时发生的情况。
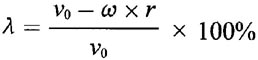
4.1.6滑移率
车辆在制动过程中,车轮在路面的运动是一个边滚动边滑动的过程。车轮未制动时,车轮可认为是纯滚动状态。当车轮抱死时,车轮在路面上的运动处于纯滑动状态,滑移率是定量描述车轮的运动状态,表示车轮滑动成分的多少。

式中:v0----车轮中心的速度,车速
r----车轮的滚动半径
ω----车轮的角速度
举例:车轮未制动时,车轮可认为是纯滚动状态,v0=w×r。滑移率为0;当车轮抱死在路面拖滑时ω=0,滑移率为100%
4.1.7 ABS系统处于全循环状态
指ABS防抱死制动系统反复调节制动力,以防止直接控制车轮抱死。即ABS防抱死系统启动发挥作用。
4.2摩托车ABS制动性能试验项目
适用范围:安装有防抱死制动系统的L1和L3类车辆。
整个试验包含下列多个独立的试验,在进行摩托车防抱死制动系统性能试验前,应首先完成4.2.1项目路面峰值制动力系数的确认,其余4.2.2~4.2.7试验项目,法规没有试验顺序具体要求,可以按任意顺序进行具体试验项目如表2所示。
